INFORME DEPARTAMENTO DE NUEVA SEGOVIA - page 46

Censo Económico Urbano : : Resultados de Nueva Segovia
36
Instituto Nacional de Información de Desarrollo
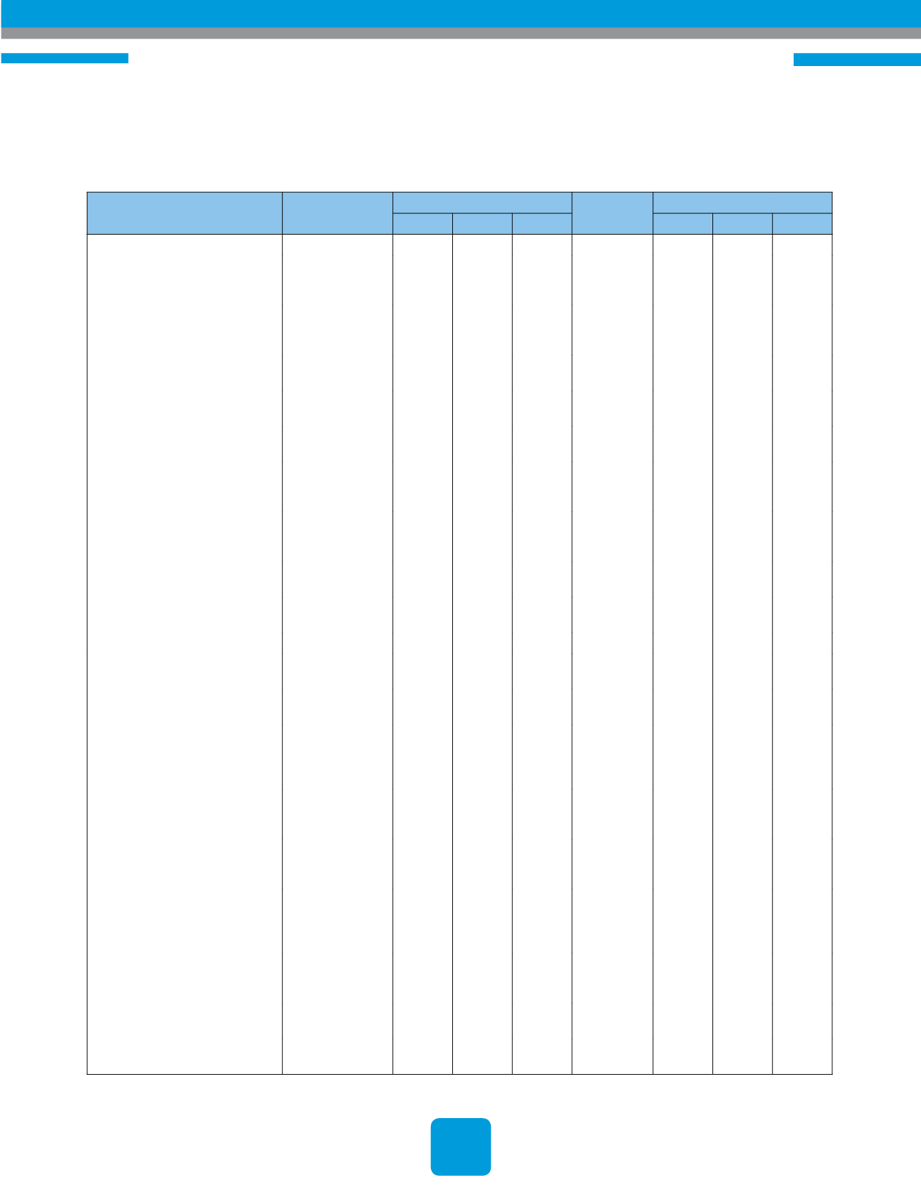
Cuadro XV-NS. Número de Establecimientos y Personal Ocupado del Municipio de Mozonte, según Gran
División CIIU, Grupo y Clase
Gran División CIIU, Grupo y Clase
Número de
Establecimientos
Personal Ocupado
Participación
%
Participación %
Total
Hombres Mujeres
Total
Hombres Mujeres
Total
125
286
137
149
100.0
100.0
100.0
100.0
0140 Actividades de servicios
agrícolas y ganaderos, excepto las
actividades veterinarias
1
11
10
1
0.8
3.8
7.3
0.7
1511 Producción, procesamiento y
conservación de carne y productos
cárnicos
1
2
1
1
0.8
0.7
0.7
0.7
1531 Elaboración de productos de
molinería
2
5
1
4
1.6
1.7
0.7
2.7
1541 Elaboración de productos de
panadería
21
31
3
28
16.8
10.8
2.2
18.8
1810 Fabricación de prendas de
vestir, excepto prendas de piel
3
3
1
2
2.4
1.0
0.7
1.3
2022 Fabricación de partes y piezas
de carpintería para edificios y
construcciones
4
14
13
1
3.2
4.9
9.5
0.7
2691 Fabricación de productos de
cerámica no refractaria para uso no
estructural
22
55
29
26
17.6
19.2
21.2
17.4
2694 Fabricación de cemento, cal
y yeso
1
7
7
0
0.8
2.4
5.1
0.0
2811 Fabricación de productos
metálicos para uso estructural
1
2
2
0
0.8
0.7
1.5
0.0
3610 Fabricación de muebles
1
3
3
0
0.8
1.0
2.2
0.0
3699 Otras industrias
manufactureras n.c.p.
2
10
0
10
1.6
3.5
0.0
6.7
5122 Venta al por mayor de
alimentos, bebidas y tabaco
1
11
11
0
0.8
3.8
8.0
0.0
5211 Venta al por menor en
almacenes no especializados con
surtidos compuesto principalmente
de alimentos, bebidas y tabaco
30
52
13
39
24.0
18.2
9.5
26.2
5219 Venta al por menor de
otros productos en almacenes no
especializados
1
1
0
1
0.8
0.3
0.0
0.7
5220 Venta al por menor de
alimentos, bebidas y tabaco en
almacenes especializados
5
6
1
5
4.0
2.1
0.7
3.4
5231 Venta al por menor de
productos farmacéuticos y
medicinales, cosméticos y artículos
de tocador
2
2
1
1
1.6
0.7
0.7
0.7
5239 Venta al por menor de
otros productos en almacenes
especializados
1
1
0
1
0.8
0.3
0.0
0.7
5240 Venta al por menor en
almacenes de artículos usados
1
1
0
1
0.8
0.3
0.0
0.7
5260 Reparación de efectos
personales y enseres domésticos
4
4
2
2
3.2
1.4
1.5
1.3
1...,36,37,38,39,40,41,42,43,44,45 47,48,49,50,51,52,53,54,55,56,...72