INFORME DEPARTAMENTO DE NUEVA SEGOVIA - page 42

Censo Económico Urbano : : Resultados de Nueva Segovia
32
Instituto Nacional de Información de Desarrollo
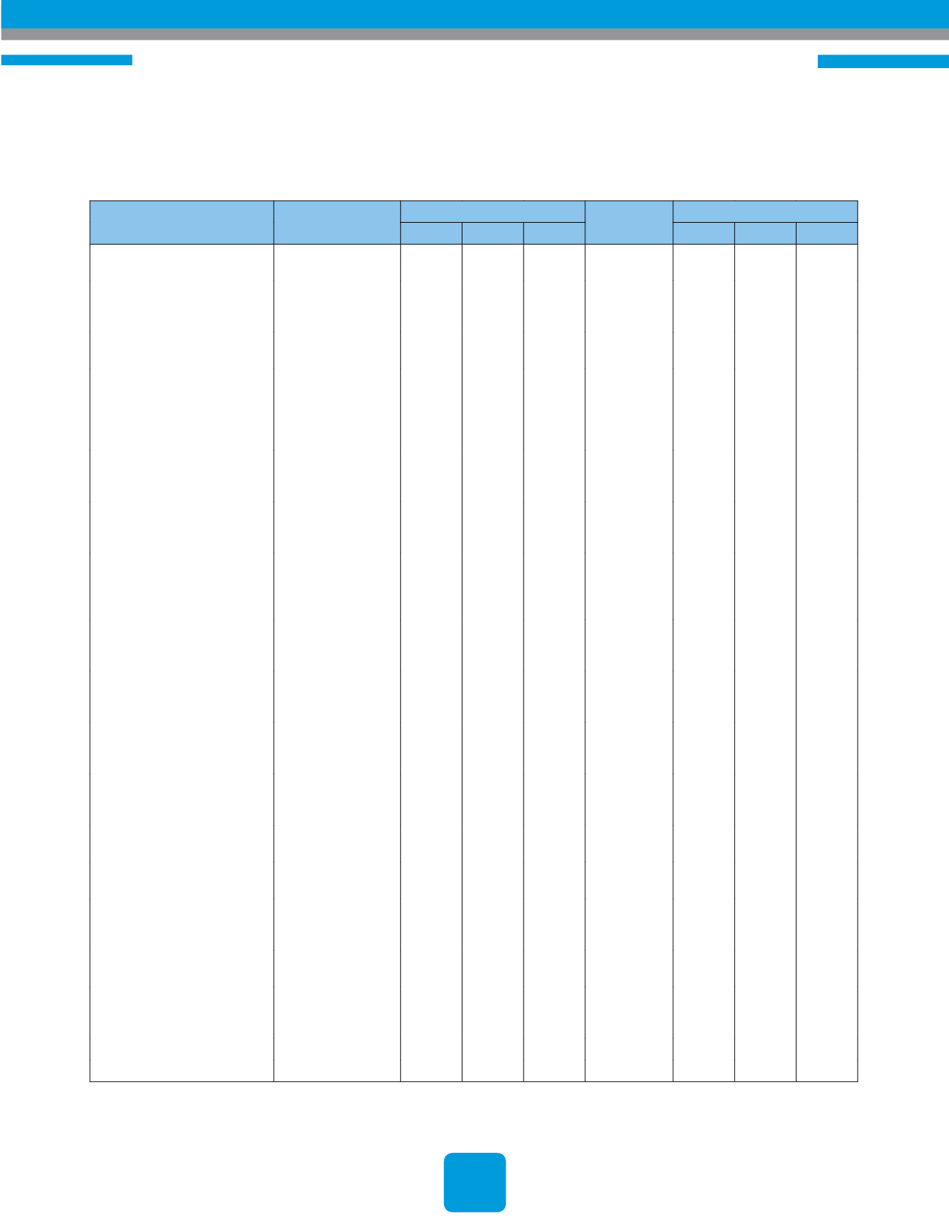
Cuadro XIII-NS. Número de Establecimientos y Personal Ocupado del Municipio de El Jícaro, según Gran
División CIIU, Grupo y Clase
Gran División CIIU, Grupo y Clase
Número de
Establecimientos
Personal Ocupado
Participación
%
Participación %
Total
Hombres Mujeres
Total
Hombres Mujeres
5050 Venta al por menor de
combustible para automotores
3
9
9
0
0.6
1.0
2.6
0.0
5121 Venta al por mayor de
materias primas agropecuarias y
de animales vivos
2
13
13
0
0.4
1.5
3.7
0.0
5122 Venta al por mayor de
alimentos, bebidas y tabaco
2
7
5
2
0.4
0.8
1.4
0.4
5211 Venta al por menor en
almacenes no especializados
con surtidos compuesto
principalmente de alimentos,
bebidas y tabaco
123
206
50
156
24.6
23.3
14.4
29.0
5219 Venta al por menor de
otros productos en almacenes no
especializados
10
17
4
13
2.0
1.9
1.2
2.4
5220 Venta al por menor de
alimentos, bebidas y tabaco en
almacenes especializados
20
28
13
15
4.0
3.2
3.7
2.8
5231 Venta al por menor
de productos farmacéuticos
y medicinales, cosméticos y
artículos de tocador
15
24
8
16
3.0
2.7
2.3
3.0
5232 Venta al por menor de
productos textiles, prendas de
vestir, calzado y artículos de cuero
10
15
4
11
2.0
1.7
1.2
2.0
5233 Venta al por menor de
aparatos, artículos y equipo de
uso doméstico
2
3
2
1
0.4
0.3
0.6
0.2
5234 Venta al por menor de
artículos de ferretería, pinturas y
productos de vidrio
4
8
4
4
0.8
0.9
1.2
0.7
5239 Venta al por menor de
otros productos en almacenes
especializados
10
19
8
11
2.0
2.1
2.3
2.0
5240 Venta al por menor en
almacenes de artículos usados
14
19
3
16
2.8
2.1
0.9
3.0
5260 Reparación de efectos
personales y enseres domésticos
15
20
16
4
3.0
2.3
4.6
0.7
5510 Hoteles; campamentos
y otros tipos de hospedaje
temporal
6
13
1
12
1.2
1.5
0.3
2.2
5520 Restaurantes, bares y
cantinas
49
86
16
70
9.8
9.7
4.6
13.0
6412 Actividades de correo
distintas de las actividades
postales nacionales
1
2
0
2
0.2
0.2
0.0
0.4
6420 Telecomunicaciones
3
10
9
1
0.6
1.1
2.6
0.2
6592 Otros tipos de crédito
3
19
15
4
0.6
2.1
4.3
0.7
1...,32,33,34,35,36,37,38,39,40,41 43,44,45,46,47,48,49,50,51,52,...72