INFORME DEPARTAMENTO DE NUEVA SEGOVIA - page 39

Censo Económico Urbano : : Resultados de Nueva Segovia
29
Instituto Nacional de Información de Desarrollo
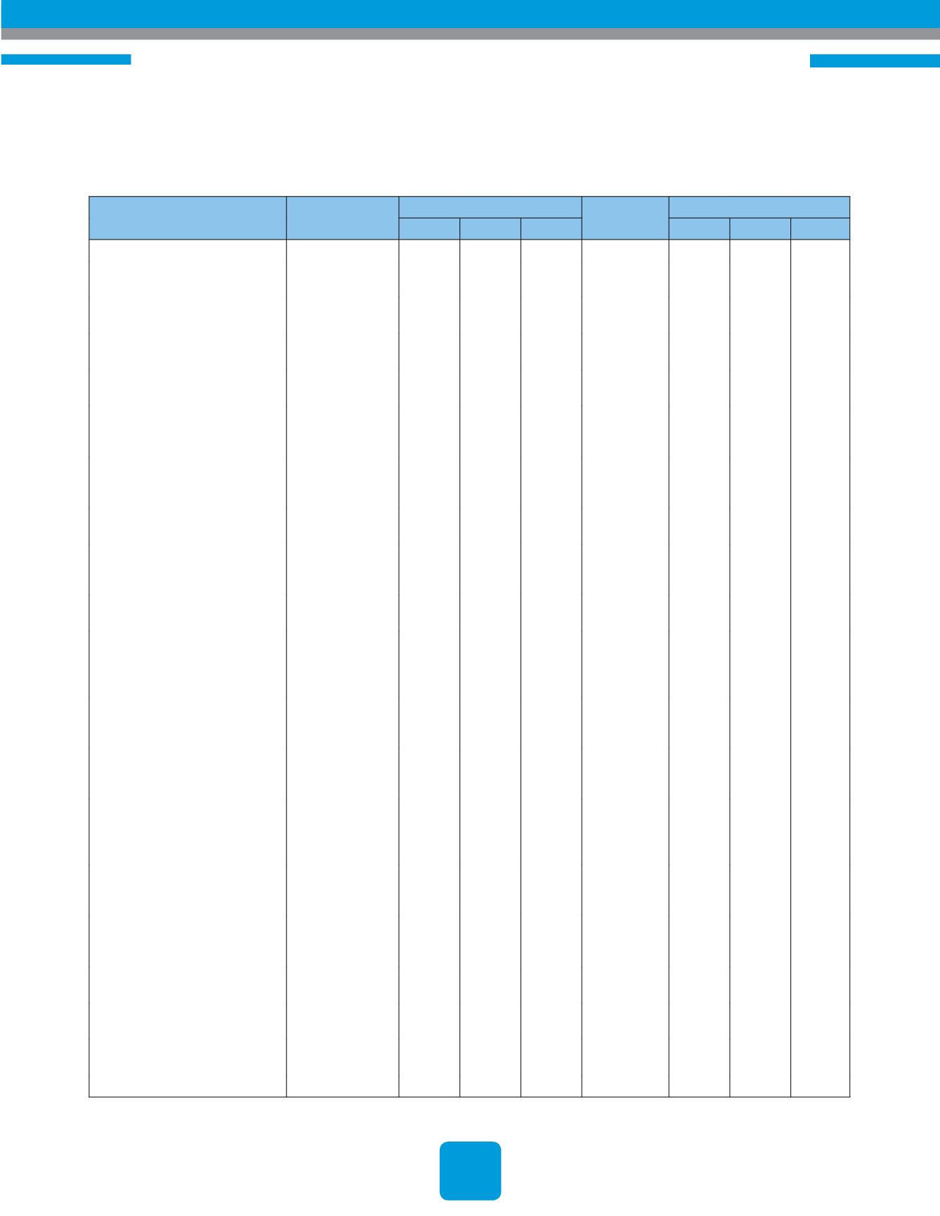
Cuadro XII-NS. Número de Establecimientos y Personal Ocupado del Municipio de Murra, según Gran
División CIIU, Grupo y Clase
Gran División CIIU, Grupo y Clase
Número de
Establecimientos
Personal Ocupado
Participación
%
Participación %
Total
Hombres Mujeres
Total
Hombres Mujeres
Total
116
220
97
123
100.0
100.0
100.0 100.0
1531 Elaboración de productos de
molinería
1
1
0
1
0.9
0.5
0.0
0.8
1541 Elaboración de productos de
panadería
9
11
1
10
7.8
5.0
1.0
8.1
1549 Elaboración de otros
productos alimenticios n.c.p.
1
1
0
1
0.9
0.5
0.0
0.8
1810 Fabricación de prendas de
vestir, excepto prendas de piel
4
4
0
4
3.4
1.8
0.0
3.3
2022 Fabricación de partes y piezas
de carpintería para edificios y
construcciones
1
3
3
0
0.9
1.4
3.1
0.0
5040 Venta, mantenimiento y
reparación de motocicletas y de sus
partes, piezas y accesorios
2
4
3
1
1.7
1.8
3.1
0.8
5050 Venta al por menor de
combustible para automotores
1
1
1
0
0.9
0.5
1.0
0.0
5121 Venta al por mayor de
materias primas agropecuarias y de
animales vivos
1
4
4
0
0.9
1.8
4.1
0.0
5122 Venta al por mayor de
alimentos, bebidas y tabaco
2
6
2
4
1.7
2.7
2.1
3.3
5211 Venta al por menor en
almacenes no especializados con
surtidos compuesto principalmente
de alimentos, bebidas y tabaco
48
90
38
52
41.4
40.9
39.2
42.3
5219 Venta al por menor de
otros productos en almacenes no
especializados
7
14
3
11
6.0
6.4
3.1
8.9
5220 Venta al por menor de
alimentos, bebidas y tabaco en
almacenes especializados
4
9
7
2
3.4
4.1
7.2
1.6
5231 Venta al por menor de
productos farmacéuticos y
medicinales, cosméticos y artículos
de tocador
3
5
1
4
2.6
2.3
1.0
3.3
5232 Venta al por menor de
productos textiles, prendas de vestir,
calzado y artículos de cuero
3
4
2
2
2.6
1.8
2.1
1.6
5239 Venta al por menor de
otros productos en almacenes
especializados
1
1
1
0
0.9
0.5
1.0
0.0
5240 Venta al por menor en
almacenes de artículos usados
3
5
0
5
2.6
2.3
0.0
4.1
5260 Reparación de efectos
personales y enseres domésticos
4
4
3
1
3.4
1.8
3.1
0.8
5510 Hoteles; campamentos y otros
tipos de hospedaje temporal
2
4
2
2
1.7
1.8
2.1
1.6
5520 Restaurantes, bares y cantinas
14
22
6
16
12.1
10.0
6.2
13.0
1...,29,30,31,32,33,34,35,36,37,38 40,41,42,43,44,45,46,47,48,49,...72