INFORME DEPARTAMENTO DE CHONTALES - page 45

Censo Económico Urbano : : Resultados de Chontales
35
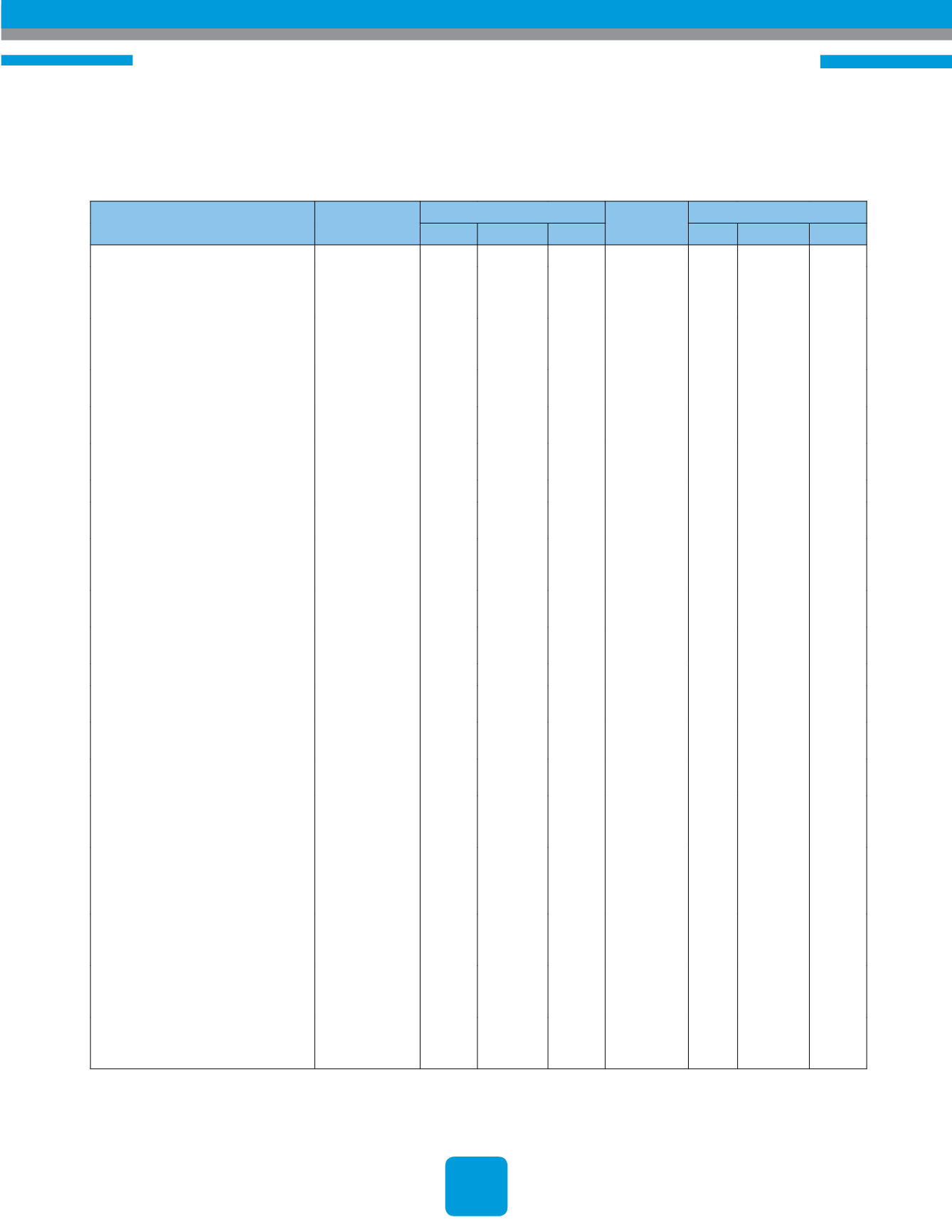
Cuadro XV-CHT. Número de Establecimientos y Personal Ocupado del Municipio de Santo Domingo, según
Gran División CIIU, Grupo y Clase
Gran División CIIU, Grupo y Clase
Número de
Establecimientos
Personal Ocupado
Participación
%
Participación %
Total
Hombres Mujeres
Total
Hombres Mujeres
Total
245
478
213
265
100.0 100.0
100.0 100.0
1320 Extracción de minerales metalíferos
no ferrosos, excepto los minerales de
uranio y torio
8
87
82
5
3.3 18.2
38.5
1.9
1511 Producción, procesamiento y
conservación de carne y productos
cárnicos
1
5
2
3
0.4
1.0
0.9
1.1
1531 Elaboración de productos de
molinería
3
3
3
0
1.2
0.6
1.4
0.0
1541 Elaboración de productos de
panadería
21
33
2
31
8.6
6.9
0.9
11.7
1810 Fabricación de prendas de vestir,
excepto prendas de piel
4
5
0
5
1.6
1.0
0.0
1.9
1920 Fabricación de calzado
1
1
1
0
0.4
0.2
0.5
0.0
2022 Fabricación de partes y piezas de
carpintería para edificios y construcciones
1
1
1
0
0.4
0.2
0.5
0.0
2029 Fabricación de otros productos
de madera; fabricación de artículos de
corcho, paja y materiales trenzables
1
3
3
0
0.4
0.6
1.4
0.0
2811 Fabricación de productos metálicos
para uso estructural
2
5
5
0
0.8
1.0
2.3
0.0
2812 Fabricación de tanques, depósitos y
recipientes de metal
1
1
0
1
0.4
0.2
0.0
0.4
3610 Fabricación de muebles
2
5
5
0
0.8
1.0
2.3
0.0
3699 Otras industrias manufactureras
n.c.p.
1
1
1
0
0.4
0.2
0.5
0.0
5020 Mantenimiento y reparación de
vehículos automotores
1
2
2
0
0.4
0.4
0.9
0.0
5050 Venta al por menor de combustible
para automotores
2
9
4
5
0.8
1.9
1.9
1.9
5149 Venta al por mayor de otros
productos intermedios, desperdicios y
desechos
1
1
1
0
0.4
0.2
0.5
0.0
5211 Venta al por menor en almacenes
no especializados con surtidos compuesto
principalmente de alimentos, bebidas y
tabaco
89
127
29
98
36.3 26.6
13.6
37.0
5219 Venta al por menor de
otros productos en almacenes no
especializados
15
32
8
24
6.1
6.7
3.8
9.1
5220 Venta al por menor de alimentos,
bebidas y tabaco en almacenes
especializados
8
11
4
7
3.3
2.3
1.9
2.6
5231 Venta al por menor de productos
farmacéuticos y medicinales, cosméticos
y artículos de tocador
14
21
7
14
5.7
4.4
3.3
5.3
1...,35,36,37,38,39,40,41,42,43,44 46,47,48,49,50,51,52,53,54,55,...69
Powered by FlippingBook